leyu乐鱼(中国)体育官方网站

leyu乐鱼(中国)体育官方网站 行业资讯 政策法规 产业市场 节能技术 能源信息 宏观环境 会议会展 活动图库 资料下载 焦点专题 智囊团 企业库
节能技术  中国节能产业网 >> 节能技术 >> 工业节能 >> 正文
三相异步电动机的定、转子电路分析
来源:互联网 时间:2007-8-8 9:14:44 用手机浏览

 

4.3.1 定子电路分析
  定子由铁心、绕组与机座三部分组成;定子铁心是电动机磁路的一部分,它是由0.5mm的硅钢片叠压而成,片与片之间是绝缘的。定子绕组是电动机的电路部分,由许多线圈连接而成,每个线圈有两个有效边分别放在两个槽里。三相对称绕组AX,BY,CZ可连接成星型或三角形。
定子每相绕组中产生的感应电动势为:
有效值为:
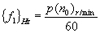
定子电动势或电流的频率:
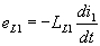
漏磁电动势:
定子每相绕组上的电压为:
  式中,R1和X1(X1=2πf1LL1)——定子每相绕组的电阻和漏磁感抗。


分享到:
leyu乐鱼(中国)体育官方网站相关的文章 iTAG:
同步电动机
单相异步电动机
三相异步电动机的制动特性
三相异步电动机的调速特性
三相异步电动机的启动特性
三相异步电动机的机械特性
三相异步电动机的基本结构和参数
交流电机基础理论
频道推荐
服务中心
微信公众号

CESI
关于本站
版权声明
广告投放
网站帮助
leyu乐鱼(中国)体育官方网站-LEYU.COM
网站服务
会员服务
最新项目
资金服务
园区招商
展会合作
中国节能产业网是以互联网+节能为核心构建的线上线下相结合的一站式节能服务平台。
©2007-2016 CHINA-ESI.COM
鄂ICP备16002099号
节能QQ群:39847109
顶部微信二维码底部
扫描二维码关注官方公众微信